Klima- und Naturschutz, Tierwohl, bessere Arbeitsbedingungen für saisonale Kräfte… Die Liste der Forderungen aus Politik und Zivilgesellschaft an die Landwirtschaft ist lang. Die meisten von ihnen sind wohl berechtigt. Nichtsdestotrotz ist es eine offene Frage, wie viel man von landwirtschaftlichen Betrieben verlangen kann, angesichts der ökonomischen, rechtlichen, technologischen oder natürlichen Restriktionen, die ihren Handlungsspielraum beschränken. Mit anderen Worten: machen es sich politische und zivilgesellschaftliche Akteure nicht etwas zu einfach, wenn sie erwarten, „die Landwirtschaft“ solle bestimmten Forderungen einfach folgen, ungeachtet dessen, ob sie es auch kann? Tragen Landwirt:innen für all die negativen Konsequenzen landwirtschaftlicher Produktion Verantwortung?
Der Frage nach der Bedeutung dieses Handlungsspielraumes (action space), über den landwirtschaftliche Betriebe im Kontext nachhaltigen Wirtschaftens verfügen, widmete sich die von María Felipe Lucia (UFZ/iDiv) und mir betreute Master-Arbeit von Malin Gütschow, deren kondensierte Version gerade in der Zeitschrift Regional Environmental Change erschienen ist. [Anekdotische Nebenbemerkung: Malin ist schon die zweite von mir betreute Master-Studentin, die bei IAK Agrar Consulting „gelandet“ ist – ohne mein Dazutun, Wissen und ohne, dass die Master-Arbeiten oder der sonstige Hintergrund der beiden ähnlich wären. Beim nächsten Mal fordere ich trotzdem eine Kommission von IAK;-)]
Der Fokus der Arbeit lag auf dem Können von Landwirt:innen, nicht auf dem Wollen oder Sollen. Der Grundgedanke: der Handlungsspielraum von Landwirt:innen bei der Umsetzung von umweltfreundlichen Maßnahmen ist durch zahlreiche Faktoren (Barrieren) beschränkt, über die sie nur wenig bis gar nicht Kontrolle haben. Dabei kann man fünf Typen von Barrieren unterscheiden:
- Soziale Barrieren: auch wenn dies keine „harten“ Barrieren sind, so können Erwartungen, soziale Normen und Überzeugungen dazu führen, dass bestimmte Handlungen als de facto „unmöglich“ erscheinen, weil ihre Umsetzung sozialen Druck und im Extremfall Ostrazismus mit sich bringen würde.
- Ökonomische Barrieren: Landwirtschaft ist und bleibt ein business, eine Tätigkeit zur Einkommensgenerierung; die Einbettung in (Welt)Märkte, Absatzmöglichkeiten für nachhaltig produzierte Waren, Investitionskosten und zahlreiche weitere Faktoren bestimmen, ob nachhaltige Praktiken ökonomisch umsetzbar erscheinen.
- Rechtliche Barrieren: aufgrund der Tendenz der Politik, neue Regelungen auf die alten/vorhandenen „oben drauf zu setzen“, ist Kohärenz nicht immer gegeben und einzelne Regelungen widersprechen sich mitunter – gerade, wenn man von so vielen Politikfeldern betroffen ist (Landwirtschafts-, allgemeines Wirtschafts-/Betriebsrecht, Naturschutzrecht, Energierecht…).
- Wissens- und technologische Barrieren: oft fehlen Know-how, Technologien (z. B. spezielle Maschinen) oder schlicht das Wissen, welche Maßnahmen welche positiven wie negativen Effekte haben können.
- Biophysische Barrieren: die Landwirtschaft ist wie kaum ein anderer Wirtschaftszweig ein „Spiel“ mit natürlichen Gegebenheiten; diese können die Umsetzung bestimmter Maßnahmen unpraktikabel machen.
- Pfadabhängigkeiten: sowohl auf Betriebs- als auch auf „systemischer“ Ebene kann ein Abweichen vom bisherigen „Pfad“ schwierig sein, der sei es durch Spezialisierung, Mangel an komplementärer Infrastruktur (bspw. Verarbeitungsbetrieben) und andere „festgefahrene“ Konstellationen aus Produktionstechnologien, -wissen, Netzwerken etc. entstanden ist.
Ein wichtiges Element des hier beschriebenen Ansatzes ist, dass er eine dezidiert subjektive Perspektive einnimmt: uns interessieren Barrieren, wie sie von den Akteuren selbst wahrgenommen werden, ob sie nun „objektiv“ existieren oder nicht. Politische und gesellschaftliche Versuche, eine Transformation der Landwirtschaft zu mehr Nachhaltigkeit einzuleiten, müssen zunächst und gerade diese wahrgenommenen Barrieren berücksichtigen, die dann abgebaut werden müssen – entweder „objektiv“ oder „subjektiv“, d. h. entweder sie müssen real beseitigt werden oder, falls die Akteure Fehleinschätzungen ihres Handlungsspielraums unterliegen, muss mit ihnen zusammen geklärt werden, wo diese Fehleinschätzungen liegen, damit sie anschließend „beseitigt“ werden können.
Um das recht abstrakte Konzept etwas greifbarer zu machen, wurde eine empirische Fallstudie durchgeführt, in der es um Barrieren bei der Umsetzung von „klimafreundlichen Fruchtfolgen“ ging. Die Maßnahme wurde bewusst recht breit formuliert, um den Handlungsspielraum verschiedener Betriebe ausleuchten zu können. Der empirische Ansatz war zweiteilig: zunächst wurden Stakeholder (Vertreter:innen von Behörden, NGOs, Bauernverbänden) interviewt, um grundsätzlich potenziell relevante Barrieren zu identifizieren. Anschließend wurden diese systematisiert und zusammengefasst; die so entstandene Liste von Barrieren wurde in einem Online-Fragebogen genutzt, in dem sie von Landwirt:innen in ihrer Wichtigkeit gewichtet werden sollten.
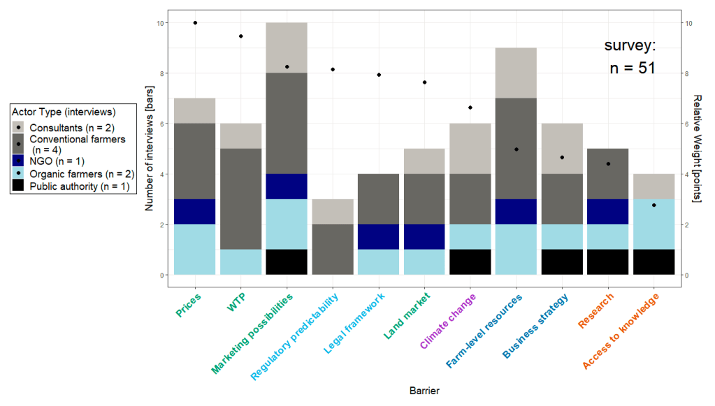
Die Ergebnisse sind in der Abbildung 2 zusammengefasst. Die Balken stellen dabei die Häufigkeit dar, mit der eine Barriere in Interviews genannt wurde (aufgeschlüsselt nach Interview-Partner:innen); die Punkte bilden die durchschnittliche Gewichtung der Barriere aus der Online-Befragung ab. Die Haupterkenntnisse der Studie sind folgende: erstens, die Vielfalt an Barrieren ist groß; zweitens, ökonomische Barrieren sind die dominanten (aber eben nicht die einzigen); drittens, die Wahrnehmung von Stakeholdern und Landwirt:innen selbst bezüglich der Relevanz einzelner Barrieren gehen mitunter auseinander.

Was den letzten Punkt anbetrifft, war dies insbesondere bei den Barrieren „Verfügbarkeit von Wissen“ und „Zugang zu Wissen“ auffällig – während die Interviewten der Meinung waren, dass dies eine wesentliche Barriere sei, maßen die Landwirt:innen ihr keinen großen Stellenwert bei. Wir können allerdings nur spekulieren, ob es sich hier um Fehleinschätzung seitens der Eresteren oder um FehlSELBSTeinschätzung seitens der Letzteren handelt.
Weniger offensichtliche, aber interessante Barrieren waren z. B. Einschränkungen durch Pachtverträge (da in Deutschland ein großer Teil der Agrarfläche gepachtet wird, sind Details der Pachtverträge potenziell höchst relevant, wie kürzlich von Felicitas Sommer diskutiert), Klimawandel (der insbesondere den Anbau von Zwischenfrüchten, die essentieller Bestandteil „klimafreundlicher Fruchtfolgen“ sein dürften, zunehmend komplizierter macht, u. a. wegen der Konkurrenz um Wasser mit Hauptfrüchten oder wegen des Ausbleibens von Frost bei Zwischenfrüchten, die normalerweise „abfrieren“ sollen) oder der Mangel von regionaler Infrastruktur, insbesonder für die Verarbeitung von „neuen“ Feldfrüchten, um die die Fruchtfolge erweitert werden könnte. Des Weiteren wurde insbesondere in den Interviews klar, dass es zwischen den Barrieren Wechselwirkungen gibt – beispielsweise können Investitionen in digitale Technologien potenziell den bürokratischen Alltagsaufwand reduzieren (und damit die harte Barriere, dass ein Tag nur 24 Stunden hat), aber leider bei gleichzeitiger Einschränkung des finanziellen Spielraums.
Die Fallstudie war explorativ und sollte primär demonstrieren, wie das Konzept der action space operationalisiert und angewandt werden kann. Allgemeingültige Schlussfolgerungen lassen sich aus ihr daher nur sehr vorsichtig ziehen. Für die Politik dürfte die Haupterkenntnis sein, dass die Gestaltung von Instrumenten der Agrarumweltpolitik stärker die Beseitigung von Barrieren für nachhaltige Praktiken in Angriff nehmen sollte, einschließlich solcher, die von der Politik selbst kommen (z. B. bei widersprüchlichen Vorgaben und Anreizen). Dabei sollte wohl auf mögliche Interaktionen und potenzielle oder bereits existierende Pfadabhängigkeiten geachtet werden, durch die Barrieren sich möglicherweise gegenseitig verstärken. Für die Umweltschutz-Organisationen und die Zivilgesellschaft allgemein ist die Hauptbotschaft hingegen, dass fehlendes Handeln nicht (nur) am fehlenden Willen liegen muss, sondern durchaus auch an den Grenzen des Handlungsspielraums, der landwirtschaftlichen Betrieben offensteht.
Zitation: Gütschow, M., Bartkowski, B., Felipe-Lucia, M., 2021. Farmers’ action space to adopt sustainable practices: a study of arable farming in Saxony. Regional Environmental Change 21: 103. doi:10.1007/s10113-021-01848-1
